2019bada.github.io

19번 문제

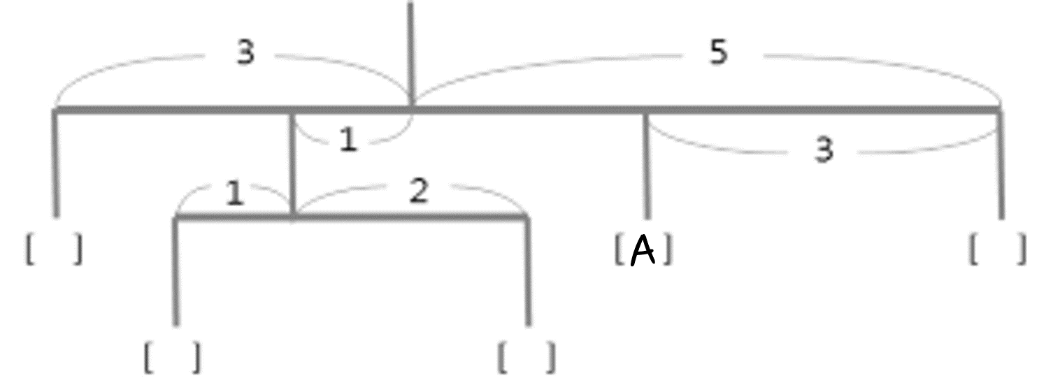
아래 그림과 같은 모빌에 무게가 각각 1, 2, 3, 4, 5 그램인 5개의 추를 달아서 균형을 유지하고 있다. A로 표시된 위치에 달린 추의 무게는?